![]()  | 
                    
                         (楼主)温故知新
                             
                    2023-07-03 09:44:25  | 
                
石家庄
	
	
	
沧州
	 
	
	
	
	
	
	
	
	
	
	
	
	
	
	
	
	
 
唐山
	 
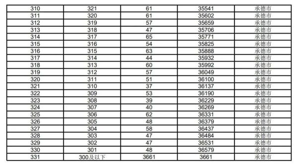
承德
	 
	
	
	
	
	
	
	
衡水
	 
	
	
	
	
	
	
	
	
	
保定
	 
	
	
	
	
	
	
	
	
	
	
	
	
	
	
	
来源:河北日报